2025年河北高考政策迎来关键变革!新高考“3+1+2”模式深化落地,再选科目采用等级赋分制,原始分通过全省排名按比例转换为100-30分区间成绩,弱化试题难度差异,凸显考生相对竞争力。选科组合直接影响专业选择:物理类组合优势显著,“物理+化学+政治”覆盖率高达99.73%,覆盖计算机、医学等热门领域;历史类组合中,“历史+政治+化学”可报专业比例约46%,侧重人文社科方向。科学选科需结合学科优势与职业规划,锐思教育为您深度解析政策,助力精准定位升学路径!咨询电话:18522356830(同微信)

考生总成绩由全国统一高考的语文、数学、外语3个科目成绩和考生选择的3科普通高中学业水平选择性考试科目成绩组成,满分为750分。即通常所说的“3+1+2”模式。其中,统一高考的语文、数学、外语3门科目,每科满分均为150分,总分450分,各科均以原始成绩计入考生总成绩。在普通高中学业水平选择性考试中,考生在物理或历史中所选择的1门科目,满分为100分,以原始成绩计入考生总成绩;在思想政治、地理、化学、生物学4门科目中选择的2门科目,每科满分均为100分,以等级赋分成绩计入考生总成绩。咨询电话:18522356830(同微信)

参加统一普通高考的考生均应参加选考科目的选择性考试。选择性考试科目包括思想政治、历史、地理、物理、化学、生物学等6个科目,学生根据高等学校相关专业对选考科目的要求和自身的兴趣特长,从以上6个科目中选择3个参加选择性考试,成绩计入考生总成绩。其中,应在历史和物理中选择1科,在思想政治、地理、化学、生物学中选择2科。
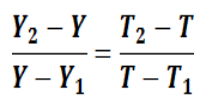
思想政治、地理、化学、生物学4门科目每科原始成绩为100分,转换后赋分成绩满分为100分,赋分起点为30分。转换时将各科目考生原始成绩从高到低划分为A、B、C、D、E共5个等级,各等级人数所占比例分别约为15%、35%、35%、13%和2%。各科目成绩计入考生总成绩时,将A至E等级内的考生原始成绩,按照事先确定的比例,依照转换公式,分别转换到100~86、85~71、70~56、55~41、40~30五个分数区间,得到考生的赋分成绩。转换基数为实际参加该科目选择考的人数(不含缺考及因违纪作弊已被取消该科成绩的人数)。考虑到高考分数都以整数呈现,故上述公式的计算结果需要进行“四舍五入”处理。锐思教育在北京海淀、昌平;天津全区;河北石家庄、张家口、秦皇岛、唐山、廊坊、沧州、保定;山东青岛等地开设有校区,拥有自己的教研团队,针对小初高阶段开设了不同类型的课程,对中考、高考生、艺考生开设了封闭集训营、全托班,保证学生的学习质量及效率,让每位学生都有显著提升。咨询电话:18522356830(同微信)