
▲题目出发点
此题选取了在当下社会文化传播中比较常见的现象,以三个形似字提炼概括了三种不同类型的文章及它们之间的转化关系。最后给出一个提示问题,引发同学思考“转”对于从“专”到“传”的作用是否是必要的。
▲误区解析
材料本身并不难理解,但与过往上海卷及模拟题比起来材料内容更多,层次更丰富,同学在审题中可能容易出现顾此失彼,模糊重点的问题。比如对三类文章的内涵理解不当,材料内容之间的逻辑关系把握不清,对材料的理解流于表面,不能真正紧扣底层问题展开讨论等。
▲写作方向
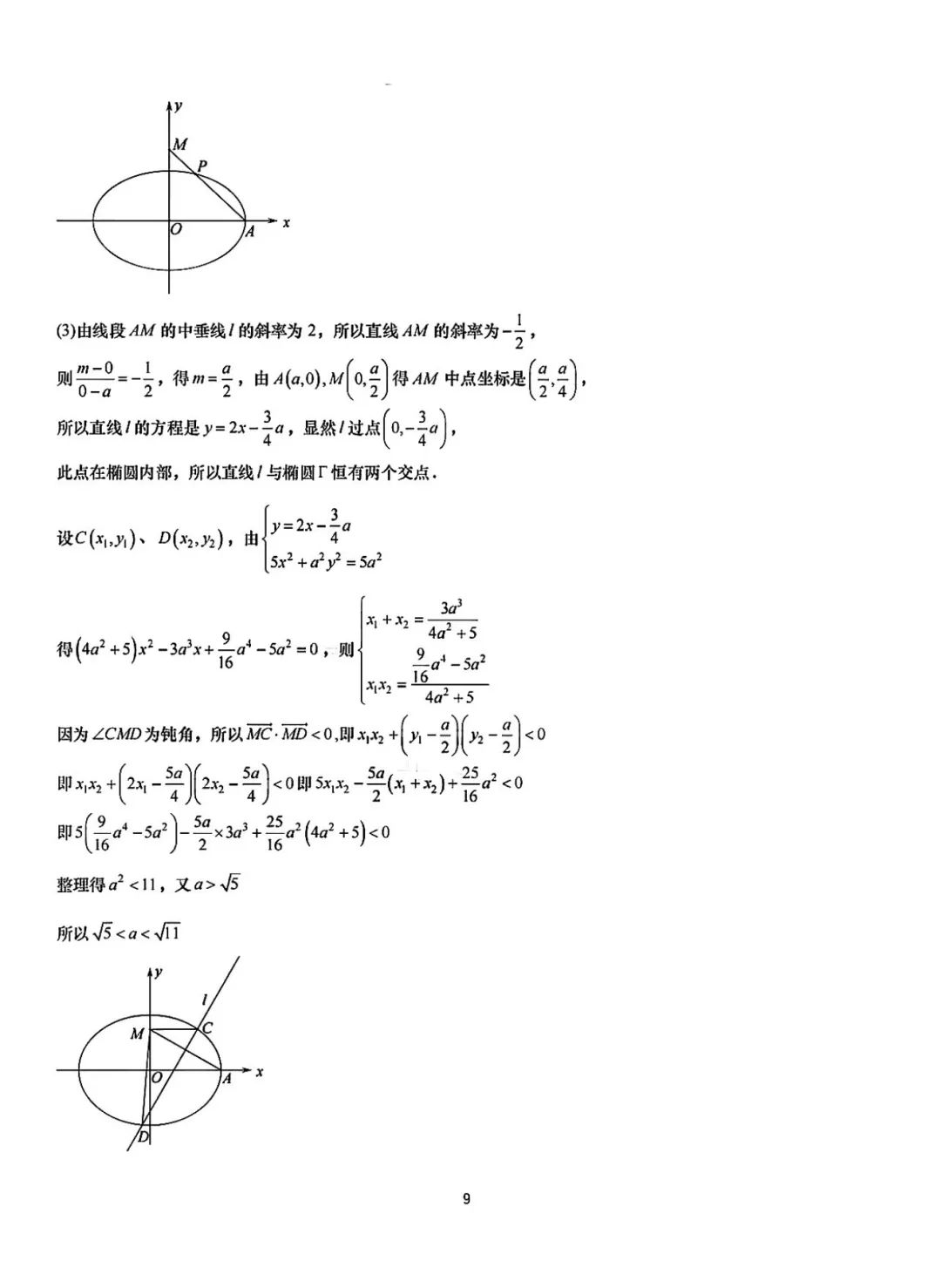
审题以后,首先要先挖掘材料背后的本质核心命题,即经典传世文章要经过怎样的传播路径才能形成的问题,而我们的文章最后也应围绕并回答对这一问题的思考。文章首先应将材料对三种文章的类型内涵引入进来,可以稍作举例,也可点到为止。
接下来可以顺势承接材料的问题,先展开去阐释很多“专”文的确是经过了“转”(这里要注意,抓住“转”的真正内涵,即大众传播,去写,而非必须是具有时代局限性的转发)的过程才成为“传”的。
但“转” 也并非由“专”到“传”的唯一途径,引出判断是否经典的标准应为文章本身的思想深度和永恒价值。
能够被大众所传播的内容是带有一定局限性的,比如很多人文科学和社会科学类文章本身就比自然科学更贴近大众生活,更易理解和应用,但不能由此断定哪个的价值更大,更为经典。
也可以再接着写到“转”固然是对形成“传”有助力作用的,但在传播过程中也会对经典本身有所磨损,虽然一定程度上是民众认知的结晶和再创造,但终究有所遗憾。
最后也可以就前文再进行一定补充,比如尤其不要为了“转”而去过分追求一时热度,须知只有当“专”中的内容真正与大众所关注的双向奔赴时(回扣材料中的“读者也期待可传世的文章”这个点),才能不断赋予作品历久弥新的生命力。最后结尾,收束全文。
这样的作文题目,不少考生表示转变风格?不再是哲学风
看看大家怎么说

















如何理解 metaphor(隐喻性语言)?
这不是简单谈“游泳”或“湿脚”,而是引导学生理解英语中常用的比喻思维,锻炼语篇理解能力。 如何培养学生的 critical thinking?除了讲道理,我们可以设计小组讨论:
“你人生中有哪些‘湿脚’时刻?”
“你曾因怕失败而不敢尝试什么?”
这类引言型作文,特别适合做成写作任务包任务(task-based writing)。
带着思辨、带着情感、带着个人真实体验去写,才有“写作的温度”。



点击关注“上海锐思个性化辅导”公众号平台,锐思教育专注上海小初高升学咨询分享,提供小初高课程全科目辅导。
